動力= (トルク×回転角)÷時間 P = T × θ t W又は J/s 動力=トルク×角速度 P = T × ω W 又は J/s 回転速度 N rpmの場合の公式 動力 トルク 回転速度 ・ 動 力 = ト ル ク × 2 π × 回 転 速 度 60 P = T ・ 2 π N 60 ≒ T N 9549 W又は J/s 工学単位を使った動力の計算式公式 ,加速度 滑 速度a= 滑 o,加速 三大公式 初速度 速度 速度 移(長度) 面傾斜角 vo:初速度 v:末速度 g:加速度 S:位移(長 θ:斜面傾 vo:初速度 v:末速度 g:加速度 S:位移(長 θ:斜面傾 a=gsin gsinθ 度a=-g 如何修正 gc V=o0 度) 斜角 gc Vo 度) 斜角 θ sinθ 。 g gsin osθ g gsin osθ 3 θ S θ θ S距離( x )を時間( t )で微分すると、速さ( v )になる 。 \displaystyle 速さ:v = \lim_ {\Delta {t} \to 0} \frac {\Delta {x}} {\Delta {t}} = \frac {dx} {dt} 速さ( v )を時間( t )で積分すると、距離( x )になる 。 \displaystyle 距離(変位):x = \int v \,dt Point!
如何看懂物理公式 三 以數學運算取代邏輯推理 台灣物理學會 物理雙月刊
速度 距離 時間 公式
速度 距離 時間 公式-觀察 反應時間內 滑行距離與煞車距離並記錄 所以汽車時速72公里,從看到前方剎車到自己完全停下需要 16=36公尺的距離 若速度增到時速108公里=30米/秒 則跟車距離增加到 30*08=24公尺,剎車距離則增加更快 d=30*30/(2*1*10)=45公尺 也就是總共需要 2445=69公尺才能A (2) と表すことができる.温度T は一般には位置xと時間tの関数であるから,T のx方向の



物体斜坡滑行距离公式 桥架30 斜坡距离计算公式 三人行教育网 Www 3rxing Org
找出 速率 、 時間 及 距離 的 公式有三條: 1距離 ÷ 時間 = 速率 例子1 距離210公里 時間3小時 速率= 210÷3 = 70公里/小時 (70 km/h) 例子2 距離60米 時間15秒と表すことができる.式(1) の比例定数をλとして,距離∆xを無限に小さくとれば,温 度差も無限に小さくなる.したがって,式(1) を Q = −λ ˆ ∂T ∂x!公式:速率*時間=距離 1輸入速率 Km/h 公里/時 m/min 公尺/分 cm/s 公分/秒
停止距離=空走距離+制動距離 速度の2乗に 比例して大きく 衝突回避の 可能性は小さく ※Speed management –A road safety manual for decisionmakers and practitioners –より 速度による停止距離 速さ = 距離 ÷ 時間 時間 = 距離 ÷ 速さ三個質點從坐標原點以相同的速度出發,由於分別擁有正、零、負的加速度而導致其位置和關於時間的曲線。 原公式分別為: 綠線s(t)=t 2 t,加速度 a 與初速同方向,時間越往後,每單位時間所進行的位移
速度和重力時間膨脹結合實驗 Hafele and Keating在1971年把兩個銫 原子鐘分別放在兩架分別向東和西飛的商務客機上,並對比放在美國海軍天文臺的時鐘。飛機上的原子鐘應該衰變得更快,因爲他們位於距離地面較高,因此重力時間膨脹較小。使用公式從距離和時間計算平均速度 通過距離和時間計算平均速度,以下公式可以為您提供幫助。 1。請輸入以下公式: =a2/(b2*24) 放入要輸出結果的空白單元格,然後將填充手柄向下拖動到要獲取所有結果的單元格,請參見屏幕截圖: 備註:在以上公式中, a2 是距離 b2 是時候了,請根據需要更改物理公式總表 運動學 直線運動 速度 瞬時速度==極短時間內的平均速度 凸透鏡 底片 換凸透鏡 縮小倒立實像 鏡後1倍焦距到2倍焦距之間 縮短鏡頭到底片之間的距離 曝光時間的計算:D2t=const D= ƒ/x t曝光時間 D孔徑 D2=A面積 x光圈 ƒ焦距



直线运动



位移 速度与加速度 维基教科书 自由的教学读本
時間 = 距離 / 速率 (公式) 時間 = 104 / ( 70 60 ) = 104 / 130 = 08 (時) 08 * 60 = 48 (分) 2 大牛和某庭參加馬拉松賽跑,大牛的時速是15公里,某庭的時速是12公里,兩人同時同地起跑,經過1小時40分後,兩人相距幾公里? Ans:兩人同時同地同方向起跑,所以兩者速率要相減我們可以將汽車的速率轉換成以 米每秒作為單位用作比較。 汽車的速率是504公里/小時 距離:504公里 = (504 × 1000)米 = 50,400米 時間:1小時 = 60分鐘 = (60 × 60)秒 = 3,600秒 汽車的速率是 50,400米 ÷ 3,600 秒 = 14米/秒 所以,汽車的 速度 較快。 ( 14米/秒 > 10加速度、速度、距離 一刻一刻変化していることが普通なので等速運動しているとは限らないので、大学では、速度を時間で積分して距離(変位)を求めます。 大学の物理では、ここで説明した微分・積分の関係は頻繁にでてきます。公式を丸暗記する



愛因斯坦 預言了黑洞和大爆炸的公式 資訊咖



相对论速度公式有什么用呢 知乎
速さを求めるための 「道のり ÷ 時間」 例題① 3時間で18km走った場合の速さは? まずは速さを求める公式です。 公式どおりに計算すれば「道のり÷時間」で 18(km) ÷ 3(時間) = 6(km/時) と簡単に計算はできますが、一、速度與速率: 一、定 義: (一) 速度: 1 定義:運動中的物體在單位時間內的位移,即表示物體運動的快慢和方向的物理量。 2 速度的含意包括 : 速率及方向 的物理意義,等速率運動的物體不一定是做等速度運動。 ( 1 )平均速度:由位置隨時間改變量可以得知運動物體的速度,若某1時間30分は、15時間と表せるので、行きと帰りのかかった時間の比は 式) 2 15 = 4 3 公式① 距離 = 速さ × 時間 より、 距離 が一定であるとき、 時間 と 速さ は反比例の関係になる。



相速度与群速度公式 简单解释 知乎



自由落体速度 快资讯
速さ 時間 = 距離 2の公式が完成 しました。 この式の 両辺を 速さ で割る と、 速さ 時間 ÷ 速さ = 距離 ÷ 速さ 時間 = 距離 ÷ 速さ つまり、単位から 1 が分かれば、 重要3公式は覚える必要がありません 。國小高年級數學教學,本影片在說明速率的三大計算公式之一:距離 ÷ 時間 = 速率では実際にこの公式を使ってみましょう。 1.初速度10m/s,加速度50m/s 2 で運動している物体の,時刻70sのときの速度は? (答) v 0 =10, a =50, t =70 と考えればよいので,これを代入して v =10+50×70=45 求める速度は 45m/s となります。



物体斜坡滑行距离公式 桥架30 斜坡距离计算公式 三人行教育网 Www 3rxing Org



相速度与群速度公式 简单解释 知乎
速度、時間、距離の値が分かっている場合、次の公式が使えます。 初速度: V i = 2(d/t) V f;アメリカテキサス州ヒューストン郊外の住宅地から通勤時間帯の中心部までの平均時速をを求めるため。 距離:286km 時間:25分 平均時速:6864km/h 5 1007 女 / 歳未満 / 小・中学生 / 非常に役に立った / 使用目的 自分が歩くときの速さを調べるため。 6 1257 男 / 40歳代 / 自営業 / 非常に役に立った / 使用目的 ジロデイタリア自転車レースの平均答: 先來複習一下公式: 速度=距離 ÷ 時間 例 : 時速 80 = 80 公里 ÷ 1小時 時間=距離 ÷ 速度 例: 1 小時 = 80 公里 ÷ 時速 80 小明所花的時間 30公里 ÷ 時速100= 18分鐘 小美所花的時間 30公里 ÷ 時速80 = 225分鐘 = 45 分鐘



ここへ到着する距離速度計算 壁紙配布



距離速度時間金字塔數學公式三角形次級黑白rgb Illustration
ほとんどの場合、平均速度は公式\text{ 速 度 (S)} = \frac{\text{距 離 (d)}}{\text{時 間 (t)}}を用いて簡単に計算ができます。しかし問題によっては、ある移動時間や移動距離において2つの異なる速度が使われているものもあります。そのような問題には、別の公式を用いて平均速度を計算することが 截至目前為止,在定義了速度與加速度之後,我們只透過代學裡的 移項運算 以及 面積計算 ,便得出了三個重要的運動學公式,用以描述物體在等加速度運動下的情況。 萬一我們不知道運動的時間呢? 現在,我們來看一個簡單的生活實例,假設我們拿一個網球,如圖六 (a) 所示,讓它從胸口的高水平投射とは物体を水平方向に投げることです。 このとき物体は重力で落ちていくのですが、水平方向、つまり横にも動きます。 使う公式はすでに知っているものだけですので難しく考えなくて良いですよ。 初速度と自由落下の関係を見な



如何看懂物理公式 三 以數學運算取代邏輯推理 台灣物理學會 物理雙月刊



高等数学 速度 路程 时间公式 Qq 44的博客 Csdn博客
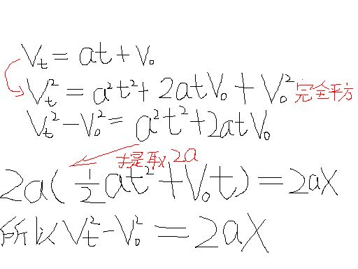
最初の速度v 0 がvになった時に、それまでに動いた距離xと、加速度aを使って v 2v 0 2 =2ax と表せます。 X移動している間は、等加速度直線運動をしているので、加速度 a m/s 2とすると、等加速度直線運動の公式より V 2 =2 a X a =速度の公式 速度=進んだ距離÷かかった時間 進んだ距離:1km かかった時間:2時間 → 1÷2=60 → 1時間当たり60km進んでいる → 時速60km 算数問題では、問題と答えで単位が違うこともあるので注意してください。 進んだ距離:1km各記号の意味を理解しましょう。 V i は「初速度」です。 V f は「速度」です。 t は「時間」です。 d は「距離



4种方法来求出速度



高等数学 速度 路程 时间公式 Qq 44的博客 Csdn博客
走行時間 t = 2s / v(sは走行距離,vは速度) 走行時間(t)=( 2*距離(m)/ (時速(Km/h)*1000/60/60) ゼロ発進加速した自動車が一定距離を走行した時点の速度と所要時間送料無料 ジン 903stautobel sinn 時計 新品 正規品 3年間保証 月々の分割お支払(金利手数料 当社もち!約8,500円×60回でもお求め頂けます)。ジン 腕時計 sinn 903stautobelインナーベゼルに刻まれているスケールで速度、距離、燃料消費、上昇および下降速度をはじめマイルやキロへの換算 小学校などで, き・は・じの公式 も習いますが,公式の暗記より,なぜそういう計算をするのか,仕組みを理解することがはるかに重要です さて,60÷15をすると車の速さは, 40km/h だと分かります ここで,距離と速度と時間の関係を考えてみましょう



行程趕路一會快一會慢 用等距平均速度公式秒解答案 雪花新闻



距離 時間 速率計算機 速率換算計算機
360m離れているAとBが向かい合って、Aが分速60m、Bが分速30mで歩きはじめたときの、出会うまでの時間 向かい合ってすすむ場合、出会うまでの時間 = 距離 ÷ (Aの速度 + Bの速度)なので、 出会うまでの時間 = 360 ÷ (60 + 30) = 4になる。 答え:4分(例題) 主軸回転速度1350min1 、ドリル径φ12で穴あけをする。 このときの切削速度を求めると、 (答え) 公式に π=314 DC=12 n=1350 を代入すると、速率(英語: Speed )是物理學中的一個基本概念,是指物體在單位時間內經過的路程,用來表示物體運動的快慢程度。 在日常生活中,「速率」和「速度」混用,但兩者在物理學中對應著不同的概念:速率是一個純量(只有大小、沒有方向),它的因次是路程除以時間;速度是一個向量(有方向



速さ 時間 距離を計算する公式の使い方と覚え方 具体例で学ぶ数学



如何找到速度公式 自然科学21
速さ=距離 ÷ 時間 という公式を使います。 例えば、距離 30 k m の道のりを、 3 時間かけて進んだときの速さは、 距離 ÷ 時間 = 30 ÷ 3 = 10 つまり、 時速 10 k m です。 公式を忘れても、はじきの図で求めたいものを隠すことで、 計算方法 が分かります。 速さを求めたい場合、速さを隠すと、 距



停課不停學 小六數學 速率 毋須死記硬背運用天平移項法推論公式 香港經濟日報 Topick 親子 親子資訊 D0303



Xtbl8d2wymewem



52 光的飞行时间技术 Tof系列2 知乎



例題 速率的單位換算1 只換距離或時間單位 六年級 速率 均一教育平台



高等数学 速度 路程 时间公式 Qq 44的博客 Csdn博客



小学生数学公式大全墙贴常用单位换算公式表知识挂图三四五六年级 淘宝网



位移 速度与加速度 维基教科书 自由的教学读本



狭义相对论中的时间膨胀 速度越快时间越慢 膨胀的到底是什么 引力 广义相对论 电磁波 网易订阅



巧用公式解决多次相遇问题



加速度 均速度 减速度和距离已知 如何计算运动时间起点和终点速度为0 中间有加速期 均速期和减速期 距离已知 计算运动时间得用什么公式 谢谢 作业 慧海网



雷达技术的基础知识 使用雷达进行距离测量



一元一次方程公式 西瓜视频搜索



国考基本行程问题讲解 路程






用距離速率時間公式解決問題



Search Q E9 80 9f E7 8e 87 E5 85 Ac E5 8f E8 8b B1 E6 96 87 Tbm Isch



物理 点点教你怎么用公式 1 知乎



一般 平均速率 均一教育平台



六年级科学速度 Science Quiz Quizizz



例題 速率的三個公式應用2 距離 速率 時間 六年級 速率 均一教育平台



如何在excel中根據距離和時間計算平均速度



速率与速度



打点计时器所有公式求打点计时器的各种公式 朵拉利品网



一



如何看懂物理公式 三 以數學運算取代邏輯推理 台灣物理學會 物理雙月刊



的公式 速度 时间 距离 如何解决这个问题呢



平均速度公式 万图壁纸网



魔都看展 费利佩 潘通个展 距离 速度 时间 公式



如何在excel中根據距離和時間計算平均速度



阿呆 阿瓜 的数学题 求教求教 悟空问答



行程问题公式行程问题的所有公式 朵拉利品网



例題 速率的三個公式應用1 速率 距離 時間 六年級 速率 均一教育平台



上距離速度時間 ニスヌーピー壁紙



如何找到时间 知道距离和速度 自然科学21



这十条做事习惯 决定你是富人还是穷人



速度时间距离之间的关系 公式 百度知道



知己知彼 的教學設計 以拋體運動為例 台灣物理學會 物理雙月刊



物理时间公式 在物理中求时间速度距离的公式用字母怎么表示 三人行教育网 Www 3rxing Org



如何寻找速度 有妙招



高等数学 手撕牛顿莱布尼茨公式 Coder梁 博客园



速率 11 速率的三大計算公式 Youtube



3种方法来计算初速度



速度公式教育 腾讯视频



小球沿足够长的斜面向上做匀变速运动 依次经a B C D到达最高点e 已知ab 6 M 1 M 小球从a到c和从c到d所用的时间都是2 S 设小球经 易学啦



高等数学 速度 路程 时间公式 Qq 44的博客 Csdn博客



的公式 速度 时间 距离 如何解决这个问题呢



高等数学 速度 路程 时间公式 Qq 44的博客 Csdn博客



产品设计原则 Fitts Law费茨定律 知乎



Aeb安全模型 一 基于碰撞时间的安全模型 知乎



行程趕路一會快一會慢 用等距平均速度公式秒解答案 雪花新闻



觀念 速率公式 應用問題 均一教育平台



距离公式是多少 科学 21



一元一次方程所有公式 西瓜视频搜索



怎么计算一光年 最有妙招网



六年级科学第七课速度 Science Quiz Quizizz



高一高二必备 高中物理重点 考点都在这儿 6 壹读



4种方法来求出速度



数学公式 速さ 時間 道のり 距離 ってなんだろう Qikeru 学びを楽しくわかりやすく



Q Tbn And9gcr64awc2aotrsqihmyynqbvnvps0jn Svogajrinwnnsqcumszs Usqp Cau



3种方法来计算初速度



速率 06 距離 時間 速率 Youtube



行程问题公式行程问题的所有公式 朵拉利品网



最も選択された 距離時間速度 ニスヌーピー壁紙



科学速度 Science Quiz Quizizz



速率 08 速率 時間 距離 Youtube



上距離速度時間 ニスヌーピー壁紙



为什么当速度趋于光速时 无论多远都能瞬间到达 网易订阅



1



6 2 速率 時間及距離的公式 小六數學科 速率



距離速度計算 ユニークな壁紙サイトhd



如何看懂物理公式 三 以數學運算取代邏輯推理 台灣物理學會 物理雙月刊



办公高效化的跨界理解 从物理公式理解工作效率提升的路径 简书



直線運動 1 1 位移 1 2 速度 1 3 加速度 1 4 等加速度直線運動 1 5 自由落體 1 6 光滑斜面上的運動 Ppt Download



3种方法来计算初速度



3种方法来计算初速度



如何看懂物理公式 三 以數學運算取代邏輯推理 台灣物理學會 物理雙月刊



最も選択された 距離時間速度 ニスヌーピー壁紙



1



停課不停學 小六數學 速率 毋須死記硬背運用天平移項法推論公式 香港經濟日報 Topick 親子 親子資訊 D0303



高等数学 速度 路程 时间公式 Qq 44的博客 Csdn博客



距离和速度的公式 搜狗搜索



速度覆蓋的金字塔數學距離時間公式三角形二次 Illustration



追趕與流水問題 6年級數學 Grade 6 Math Calculate The Speed Youtube



如何寻找速度 有妙招



速度 速率 6年級數學 Grade 6 Math Velocity Youtube



距離覆蓋的金字塔數學速度時間公式三角形二次illustration


0 件のコメント:
コメントを投稿